مدير شؤون الموظفين في رئاسة الوزراء تتعاقد مع< 4> أبنائها وشقيقها و تمنحهم جميعا إكرامية رمضان

النقابي الجنوبي/ ردفان برس/ خاص
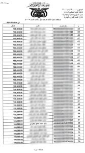
أكد مصدر مسؤول في الدائرة المالية لرئاسة الوزراء أن مدير شؤون الموظفين لمجلس الوزراء للشرعية اليمنية قامت بالتعاقد مع ٤ أبنائها و شقيقها .
حيث أفاد المصدر و وفق للكشوفات المسربة من الدائرة المالية و الادارية أن أنيسه عبدالله عثمان العمودي مدير عام شؤون الموظفين أقدمت في خطوة جريئة على التعاقد مع أبنائها الاربعة و شقيقها في الامانة العامة لرئاسة الوزراء وهم ) عبير محمد صالح العمودي ، وفاء محمد صالح العمودي ، طارق محمد صالح العمودي، وليد محمد صالح العمودي، و شقيقها محمد عبدالله عثمان العمودي )
كما منحت مدير شؤون الموظفين أنيسه العمودي على منح أبنائها الاربعة و شقيقها مبلغ الاكرامية الرمضانية المقرر صرفها للموظفين في مجلس الوزراء بدلا عن الموظفين الفعليين الذي أفنوا عمرهم في الوظيفة العامة منذ أكثر من ٢٠ عاما ليجدوا أنفسهم محرومين من أكرامية رمضان و بدلا عنهم يتواجد أسم أنيسه العمودي و أبنائها الاربعة و شقيقها
هذا الامر الذي يفتح باب الاستفسار أين رئيس الحكومة (أحمد بن مبارك) من كل هذا العبث هل يعلم ماذا يحدث في الدائرة المالية للامانة العامة لرئاسة الوزراء عدن وفي فرع رئاسة الوزراء عدن بكالتكس الذي يديرهم بصورة مزدوجة شخص واحد،واذ تم تكليفه بالمنصبين من قبل (أحمد بن مبارك)
هل عقمت اليمن أن تنجب موظفين وكوادر حتى تحتكر أسر كاملة الوظيفة العامة ، فهل لا يزال البعض يراهن أن بن (مبارك) غير قادر على أصلاح المؤسسات وهو عاجز عن أصلاح مقر عمله


